File:Psilocybin Metabolism.png
Jump to navigation
Jump to search
Size of this preview: 800 × 436 pixels. Other resolution: 1,420 × 774 pixels.
Original file (1,420 × 774 pixels, file size: 208 KB, MIME type: image/png)
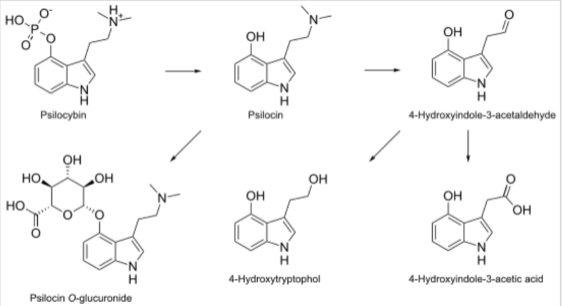
Psilocybin is converted in the liver to psilocin, which is then further converted to various metabolites.
File history
Click on a date/time to view the file as it appeared at that time.
| Date/Time | Thumbnail | Dimensions | User | Comment | |
|---|---|---|---|---|---|
| current | 05:22, 12 February 2026 | 1,420 × 774 (208 KB) | LSDream (talk | contribs) |
You cannot overwrite this file.
File usage
The following page uses this file: