Psilocybin Mushrooms
Other Names Shrooms; Mushies; Blue Meanies; Golden Tops; Alice; Boomers; Buttons; Caps; Champiñones; Cubes; God’s Flesh; Hongos; Lazers; Liberties; Liberty Caps; Little Smoke; Magic; Mushies; Musk; Pizza Toppings; Psilly Billy; Purple Passion; Silly Putty; Simple Simon; Stemmies; Tweezes[11]


Quick Facts
Psilocybin mushrooms are an informal group of psychoactive fungi that contain psilocybin, a psychedelic substance of the tryptamine class:
- Psilocybin or magic mushrooms are naturally occurring and have been consumed for their hallucinogenic effects for millenia
- When psilocybin (which is a prodrug) is taken, it’s converted in the body to psilocin, which is the chemical with the psychoactive properties
- Dose and effect can vary considerably depending upon mushroom type, method of preparation/consumption, and individual difference/tolerance
- Average dried Mushroom dose (Psilocybe cubensis):
- Starter Dose: .5-1.5 grams
- Common Dose: 1-3 grams
- Strong Dose: 3-5 grams
- Heavy Dose: 5+ grams
- Duration: 2-6 hours
- Psilocybin mushrooms are typically described as having an "earthy", "subliminal", or "dream-like" quality.
- They also are reported to produce slightly more emotion enhancement, time distortion and ego loss, as well as more nausea, confusion, and sedation.
- As a part of the so-called "psychedelic renaissance", they are currently being investigated in the treatment of a number of ailments including anxiety, depression, addiction, and other mental disorders
Introduction
Mushrooms are some of the most mysterious organisms on the planet: They are neither plant or animal, some can feed you, some can heal you, some can kill you and others can take you on a life-changing journey. They can help you live a happier, more fulfilling, more peaceful life. All this not in any physical sense but by inspiring cosmic visions as well as insight into oneself, the world, and the universe around us. I believe that these organisms provide more than just getting high and pretty colors. Paul Stamets would argue further that “Once you come to know these beings, they will forever be your fungal allies. And once befriended, they will entice you to photograph, pick, and partner with them to spread their spores and mycelium.”[133] Hopefully what you read here will help you on your journey with psilocybin mushrooms and their allies. Whether you believe that they will change your life, you must respect these powerful organisms. “The current psilocybin awakening is a cross-cultural transformation emerging from the underground”.[133]
Although the distribution/range of Psilocybin mushrooms is still poorly documented, they are known to occur on all continents (except Antarctica) and have been taxonomically classified into over 200 species, with more than half in the genus Psilocybe. Interestingly the most potent species also belong to the genus Psilocybe.[7] All known psilocybin containing species are naturally occurring saprophytes that occur on decaying matter such as downed trees, detritus, or fecal matter.[10][51] The habitats that these mushrooms are found in has changed drastically due to human impact. Today, many Psilocybes are concentrated wherever people congregate, such as parks, gardens, or even freeway rest areas.[51] This is due to the fact that humans often leave trash, wood, and other compostable items around that fungi mycelium can colonize and fruit from.
History and Culture of Psilocybin Mushrooms
Psilocybin containing mushrooms have been consumed for their hallucinogenic effects for thousands of years and pre-date humanoids.[10][51] They have a long and connected history with humans due to their powerful effects and wide distribution. Based on imagery found in prehistoric rock art, they are thought to have been used by various human cultures since before recorded history.[8] These mushrooms were an important part of ancient Aztec and Mayan cultures, ancient North African cultures, and even ancient European cultures such as the Greeks.[51] Their modern day history begins after Gordon Wasson and his wife Valentina had their trip with psilocybin mushrooms, where they would go on to strongly influence western culture. Before this there are scant few references on psilocybin mushrooms This influence was made possible when Albert Hofmann isolated and synthesized psilocybin in 1958 which was then marketed under the brand name ‘Indocybin’.[4] Along with LSD, they were incorporated into the 1960s youth counterculture movement.[8] Widespread usage of psychedelics provoked a societal backlash, and they were prohibited in 1970.[8] Today, they are among the most widely used psychedelic substances (partly due to the ease of personal cultivation and harvesting). As a part of the so-called "psychedelic renaissance", they are currently being investigated in the treatment of a number of ailments including anxiety, depression, addiction, and other mental health disorders.[8]
More in depth look --> "History and Culture of Psilocybin Mushrooms"
Chemistry

Psilocybin is a tryptamine compound with a chemical structure containing an indole ring linked to an ethylamine substituent. Tryptamines share a core structure consisting of a bicyclic indole heterocycle attached at R3 to an amino group via an ethyl side chain. Psilocybin is substituted at R4 of its indole heterocycle with a phosphoryloxy (-PO) functional group. It also contains two methyl groups CH3- bound to the terminal amine RN. This makes psilocybin the 4-phosphoryloxy ring-substituted analog of DMT.
Biosynthesis
Fungi are able to make psilocybin through a five step pathway utilizing four enzymes. It was previously thought that the biochemical transformation from tryptophan to psilocybin involved four enzyme reactions: decarboxylation, methylation at the N9 position, 4-hydroxylation, and O-phosphorylation, however recent analyses of isolated enzymes demonstrate that O-phosphorylation is the third step in P. cubensis.
The sequence of the intermediate enzymatic steps has been shown to involve 4 different enzymes (PsiD, PsiH, PsiK, and PsiM) in P. cubensis and P. cyanescens, although the biosynthetic pathway may differ between species. Namely PsiD, a new class of fungal L-tryptophan decarboxylase, PsiH a monooxygenase, PsiK a kinase that catalyzes the phosphotransfer step, catalyzing N,N-dimethylation as the final step in the biosynthesis.[52] These enzymes are encoded in gene clusters in Psilocybe, Panaeolus, and Gymnopilus. The biosynthesis pathway starts with L-Tryptophan going through a decarboxylation reaction to form tryptamine with PsiD catalyzing the reaction. Filled by an oxidation reaction and an O-phosphorylation reaction.
There is new interesting research looking into modular biosynthetic production of psilocybin. Using bacteria or fungal cells some studies have shown significant steps toward demonstrating the feasibility of industrial production of biologically derived psilocybin.[52]
Pharmacology
Psilocybin acts as a prodrug to psilocin, meaning it is not active until it is converted into psilocin in the body.[13][17][76] Recent pharmacokinetic studies show that 50% of carbon-labeled psilocybin was absorbed following oral administration, with it being distributed almost uniformly throughout the whole body. Upon entering the body, psilocybin is rapidly dephosphorylated to psilocin in the intestinal mucosa by alkaline phosphatase and nonspecific esterase.[6][52} The 4-phosphoryloxy group of psilocybin is quickly hydrolysed to form psilocin under physiological conditions. Psilocin is metabolized by monoamine oxidase (MAO-A & MAO-B) throughout the body, being oxidized to 4-hydroxyindoleacetic acid. In healthy humans, psilocybin/psilocin has a half-life of 3 hours.
Early biochemical study showed psilocin to be the main, if not the solely pharmacologically active substance, however recent evidence shows other alkaloids may be psychoactive. This was found by decreasing the dephosphorylation of psilocybin to psilocin using a competitive substrate (beta-glycerophosphate) for blocking the alkaline phosphatase.[2] [3] Psilocin's psychedelic effects come from its agonist activity on serotonin receptors where it mimics the effect of serotonin.[59] It affects a wide range of receptors, however the 5-HT2A/C and 5-HT1A receptors (along with 5-HT1D and 5-HT2C receptor subtypes) seem to be the most important.[2][3][76] The 5-HT2A receptor is densely expressed on apical dendrites of cortical pyramidal cells where agonism is considered necessary for hallucinogenic activity.[3][52] The role of other receptor subtypes is much less understood.[3] In rats, psilocin binds with high affinity to 5-HT2A receptors and low affinity to 5-HT1 receptors, including 5-HT1A and 5-HT1D; effects are also mediated via 5-HT2C receptors.[2][6] A recent study found that psilocin binds to many different receptors including dopamine in the following order: 5HT2B>5HT1D>D1>5HT1E>5HT1A>5HT5A>5HT7>5HT6>D3>5HT2C>5HT1B>5HT2A.[3] According to this data it also weakly binds to the receptors for Imidazoline1, Alpha2A/B/C and 5HT transporters.[3]
Although some of the general receptors that psilocybin interacts with are known, the exact signal transduction pathways that these receptors influence that cause psychedelic effects are still being researched. There are several pathways that can have an influence on the psychedelic effects. The PLC-mediated pathway, A2 pathway and PFC pathway. Some of the psychedelics effects of psilocybin appear to be mediated by interactions between the postsynaptic 5-HT2A and presynaptic mGlu2 receptors on glutamatergic neurons in the cortex.[17] This has been supported by experiments using 5-HT2A antagonists that were shown to block the psychedelic effects of psilocybin. This suggests that psilocybin is a potent modulator of prefrontal network activity that involves a complex interaction between serotonin and glutamate systems.[55]
Various lines of evidence have shown that interactions with non-5-HT2 receptors also contribute to the subjective and behavioral effects. For example, psilocin indirectly increases (via 5-HT receptors) the concentration of dopamine in the basal ganglia and ventral striatum. Along with some psychotomimetic symptoms of psilocin being reduced by haloperidol, a non-selective dopamine receptor antagonist, these suggest that there is an indirect dopaminergic contribution to psilocin's psychotomimetic effects.[6] The release of dopamine in the ventral striatum in humans, is correlated with symptoms of depersonalization and euphoria.[3][55] This is seen when haloperidol normalized only euphoric symptoms, derealization and depersonalization and had no effect on the visual hallucinations and even slightly potentiated the feeling of a loss of self-control.[3] Although psilocybin and psilocin impact dopamine levels they have no affinity for dopamine receptor D2, unlike another common 5-HT receptor agonist, LSD. Even though they don't directly bind to the D2 receptor , activation of 5-HT2A and 5-HT1A receptors in the medial PFC by psychedelics can have an impact on dopaminergic activity through descending projections to the dorsal raphe and the ventral tegmental area.[55] Another difference between LSD and psilocin is that psilocin antagonizes H-1 receptors with moderate affinity, compared to LSD which has a lower affinity. Psilocybin also induces region-dependent alterations in glutamate that may cause subjective experiences of ego dissolution.
There is disputed evidence on if brain metabolic activation is impacted under the influence of psilocybin. An increase of the frontal-occipital metabolic gradient occurs.[2] Regional activation was especially high in the right hemispheric frontotemporal cortical regions and decreased in the thalamus.[2] These two studies are old and may have insufficient safety standards.
Psilocybin impacts varying parts of the brain to different degrees. Prefrontal cortex activity is impacted and the suspected cause for altered time perception.[6] There is also evidence from a recent study that psilocybin causes a reduction in cerebral blood flow in both cortical and subcortical regions.[76] One specific area showing a reduction in cerebral blood flow is the Posterior Cingulate Cortex (PCC), which is closely associated with the Default Mode Network, and has been hypothesized to play a part in consciousness, constructs of self, and as a “connector hub” integrating different brain regions.[76] The integration of different brain regions may be the reason that the alteration of the PCC causes profound effects on consciousness.[76]
There has been recent evidence that psilocybin/psilocin increases the expression of early genes (erg-1, erg-2, c-fos, jun-B, period-1, gpcr-26, fra-1, N-10, I-κBα) in neurons expressing the 5HT2A receptor.[3][82] The precise signaling pathway leading from the receptor to the activation of early genes is not yet known.[3] Given that a non-hallucinogenic lisuride also activates the c-fos, it is likely that the expression of c-fos only reflects increased neuronal activity while the expression of egr-1/egr-2 is specific for the hallucinogenic effect.[3] This selectivity is hypothesized with the “agonist trafficking of receptor signaling theory”, where hallucinogens activate the 5HT2A/mGlu2 receptor heterocomplex and different G proteins compared to non-hallucinogenic 5-HT2A agonists.[3]
Metabolism
Psilocybin is metabolized mostly in the liver.[6] Recent experimentation on rodent tissue presented more evidence for complete conversion of psilocybin to psilocin. This assumption is also supported by the finding that equimolar amounts of psilocybin and psilocin evoke qualitatively and quantitatively similar psychotropic effects in humans.[2] As it becomes converted to psilocin, it undergoes a first-pass effect, whereby its concentration is greatly reduced before it reaches the systemic circulation with the vast majority of psilocybin converted into psilocin mainly by hepatic metabolism.[2][6]
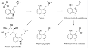
There are three general outcomes for psilocin in the body: demethylation + deamination, dephosphorylation, and oxidation. Psilocin is broken down by the enzyme monoamine oxidase to produce several metabolites that can circulate in the blood plasma, including 4-hydroxyindole-3-acetaldehyde, 4-hydroxytryptophol, and 4-hydroxyindole-3-acetic acid. Psilocin undergoes a demethylation and deamination to form 4-hydroxyindole-3-yl-acetaldehyde (4-HIA) and subsequent oxidation (presumably by hepatic aldehyde dehydrogenase and monoamine oxidase) to 4-hydroxyindol-3-acetic acid (4-HIAA) and 4-hydroxytryptophan (4-HT)[3]
Some psilocin is not broken down by enzymes and instead forms a glucuronide.[3] Psilocin is glucuronidated by endoplasmic enzymes UDP-glucuronosyltransferase (UGTs) to psilocin-O-glucuronide.[3] This is a biochemical mechanism animals use to eliminate toxic substances by linking them with glucuronic acid, which can then be excreted in the urine.[6] Psilocin is glucuronated by the glucuronosyltransferase enzymes UGT1A9 in the liver, and by UGT1A10 in the small intestine.[6] The third possible pathway is the oxidation of psilocin by hydroxyindole oxidases to a product with an o-quinone or iminochinon structure.[3] Based on studies using animals, about 50% of ingested psilocybin is absorbed through the stomach and intestine.[3][6] Psilocin is distributed to all tissues, including the brain.[3] The highest levels of psilocin in various animals were detected in the neocortex, hippocampus, extrapyramidal motor system and reticular formation.[3]
The effects of psilocybin begin 20–40 minutes after ingestion, and last 2–6 hours (some effects may persist longer up to around 8 hours), however averaging 4-5 hours, depending on dose, species, and individual metabolism.[6][51][82] It was found that after oral administration (on an empty stomach), psilocybin is detectable in significant amounts in the plasma within 20–40 minutes with psychological effects occurring with plasma levels of 4–6 mg/ml or doses above 15 mg of oral psilocybin.[2][3] The full effects occur with doses of 8–25 mg p.o. (0.045–0.429 mg/kg) within 60–90 minutes (the timing of the maximum plasma concentration is after approximately 80-90 minutes).[2][3] Psilocin appears in the plasma after 30 minutes.[2] The half life of psilocybin is 163 ± 64 minutes when taken orally, or 74.1 ± 19.6 minutes when injected intravenously.[2][6][82] In two early single-blind randomized comparative studies a dose of 100mg psilocybin was reported as equivalent to 1 mg LSD and 1000 mg mescaline.[8] Even though significant tolerance is known to occur with repeated use of psilocybin, the development of physical dependence does not occur.
Psilocin is excreted within 24 h – the majority in the first 8 h.[3] Within 24 hours, about 65% of the absorbed psilocybin is excreted into the urine, and a further 15–20% is excreted in the bile and feces.[6] Although most of the remaining drug is eliminated in this way within 8 hours, it can still be detectable in the urine after 7 days at most, but usually only after 3 days.[3][7] However, metabolic rate, age, weight, age, medical conditions, drug tolerance, other drugs or medications used, and urine pH of each individual may affect actual detection periods.[7] Clinical studies show that psilocin concentrations in the plasma of adults average about 8 µg/liter within 2 hours after ingestion of a single 15 mg oral psilocybin dose; psychological effects occur with a blood plasma concentration of 4–6 µg/liter. Psilocybin is about 100 times less potent than LSD on a weight per weight basis, and the physiological effects last about half as long.[6]
Alkaloids
Besides the well known alkaloids (organic nitrogen-containing bases) psilocybin and psilocin (4-HO-DMT) there are other tryptamines and chemicals present to varying degrees in psilocybin-producing mushrooms.[63] Some related tryptamines are: 4-hydroxytryptamine; norbaeocystin(4-PO-T) baeocystin(4-PO-NMT) norpsilocin; and and aeruginascin(4-PO-TMT). There is also recent evidence that trace amounts of 𝛽-carbolines with known MAOI properties were identified in several Psilocybe species.[63] Baeocystin, norbaeocystin, norpsilocin, and aeruginascin are all generally present in much smaller quantities than psilocin and psilocybin (if they are present at all).[60] There are many other chemicals present in psilocybin containing mushrooms, with a possibility that some of these may also be psychoactive.[60] There have been rumors that some species of psilocybin mushrooms may contain small amounts of DMT, yet there has been no scientific evidence of this.[60]

The tryptamines can be generalized as possessing either a hydroxy (-OH) or phosphate (OPO3H-) substitution at the 4-position of the indole core (R1) and containing sequentially increasing degrees of N-Methylation at the terminal nitrogen (R2).[63] There has been speculation about the biological relevance of these alkaloids and their contribution to psychedelic effects.[60][63] Unfortunately, there have been few studies to evaluate the pharmacological activity of these tryptamines.[63] There has been anecdotal evidence by individuals experienced with psychedelics that claim variability in effects when consuming species with different levels of tryptamines, specifically baeocystin or norpsilocin.[63] ==Pharamcology
All of these are chemical compounds that can be obtained from dried or fresh hallucinogenic mushrooms.[7][52] They all have a structure very similar to the amino acid tryptophan and serotonin.[3][17] Because of this similarity, they can bind to receptors in the brain that are meant for serotonin.[13] Binding and activation of a variety of serotonin receptor sites, especially the 5-HT2A receptor, correlate with the manifestation of psychedelic effects.[17]
Dosage
The amount you take is dependent on a wide range of factors, but most importantly the species of mushroom and your individual sensitivity.[51] Dosages will vary significantly from person to person since the potency of a mushrooms changes based on species/variety, origin, growing conditions, age and even mushroom to mushroom.[70] This is because the amount of alkaloids, specifically psilocybin, can vary greatly among species and individual mushrooms. You should always start at a low dose and wait to try higher doses until you’ve had some experience. Terence McKenna, psychonaut extraordinaire, suggests “When in doubt, double the dose”.[51] I whole heartily disagree with this advice, especially for inexperienced users. McKenna believes that only when you are engulfed with the power of the mushroom does the message become clear. He is right that higher doses will have more of an impact, but people need to work up to those levels.
Individual sensitivities can vary tremendously. The recommended doses should work for most people. I am particularly sensitive to psychedelics where I seem to be impacted 2-3x more than people I have tripped with. My friend however can take 3-4 grams and feel nothing while the rest of us are in the throes of it. The first time taking them you should start with a very small amount to do an allergy test to make sure your body does not have an adverse reaction. Then from there you can figure out what dose works best for you. I recommend that each time you get/grow/pick new mushrooms you start at a lower dose to test their effects and potency.
Things are made even more complicated since multiple studies have found evidence of variables that can impact the amount of psilocybin. We’ll look at Psilocybe cubensis since it is the most commonly consumed species of magic mushroom.[51]A study looking at the varying levels of psilocybin present found that within each flush younger individual specimens are more potent (higher concentration) than mature ones.[6][51] This is theorized to be due most psilocybin biosynthesis taking place early in the formation of fruiting bodies. The growing medium can also influence the variability of psilocybin.[51] Mushrooms grown on rye grain can have a fourfold difference in their psilocybin content while wild mushrooms can have a tenfold difference.[51] There has also been research showing that raising of tryptamine levels in the substrate increased the psilocybin content in the harvested mushrooms.[51] This is especially pertinent in wildly foraged mushrooms. There also has been some evidence that there is higher amounts of psilocybin in the caps of the mushrooms (vs. the stems), although due to the high variability these results may not be significant.[6]13]
Two randomly selected Psilocybe mushrooms, even from the same species and harvest, can have different psilocybin levels.[13] Lab testing is the only way to know precisely how potent a given mushroom is.[13] The content of psilocybin and psilocin in mushrooms usually varies in the range from 0.1% to 2% of dry weight.[52] They can contain roughly 0.5 – 1.0% total psilocin, averaging around 0.7% by weight; 0.7% total psilocin equates to about 1% psilocybin.[13] Psilocybin levels in Psilocybe semilanceata have been recorded uncommonly high at up to 2.0%.[58] It is along with P. azurescens and P. cyanescens. As the most potent./[6] For Psilocybe cubensis specifically it:
Doses can be estimated by dividing the potency of the mushroom by your body weight along with some general guidelines:
- Find the general range of psilocybin + any other alkaloids in the species you are ingesting (found in tables below)
- Focus on Psilocybin and psilocin since the psychoactive properties of other alkaloids are unconfirmed
- .25 mg/ kg is about a manageable dose with .5 mg/kg a high dose[51]
- 4-10mg is the average dose of psilocybin that induces hallucinogenic effects[70]
- Multiple your body weight (in kg) by the mg/kg amount you want, according to above
- Example: I want to take P. cubensis
- I weigh about 120 lbs → 55kg
- 55 kg x .25 mg/kg = 14 mg
- So I want a dose of about 14 mg for a moderate trip
- P. cubensis has about .63+.6 = 1.2 percent psilocybin/psilocin
- 14 mg/ .012 = 1,166 mg or about 1.16 grams of P. cubensis
Quick formula for a moderate trip:
- ((weight in kg) x (.25 mg/kg)) x ((% psilocybin + % psilocin)/100) x 1000 = amount in grams
- Change .25 mg/kg for a stronger or weaker trip
Generally this works out to an average dose of DRIED psilocybin mushrooms between 1 and 3.5-5 grams (FRESH mushrooms are about 10x less potent), depending on user, tolerance, and species/strain of mushroom being eaten.[70] I personally recommend taking .5-1.5 grams max of dried mushrooms the first time tripping. The effects can be overwhelming at first and starting at a low dose will help increase the chances of a good experience.
Psilocybe cubensis is the most common species of mushroom to be consumed. However, each “strain” of P. cubensis is not created equal. These strains have been created through artificial breeding and cloning performed by, most commonly, amateur mycologists. Some of the strain names you might see are:
- Golden Teachers
- Penis Envy
- Albino Penis Envy
These different strains can vary significantly with psilocybin and psilocin content. For example, albino penis envy (APE) is known to be very potent with as little as 1g causing a significant trip. To my knowledge there is a lack of scientific literature discussing these different strains, with most evidence being anecdotal. As always one should try a small dose of each new strain to gauge its potency and effects.
If you are ever in the rare situation in which you have pure psilocybin then the medium oral dose would be about 4-8 mg which is similar in effects to 2 g of dried Psilocybin Mexicana.[52] 2mg psilocybin IV has subjective effects equivalent to approximately 15mg of orally administered psilocybin and is considered a moderate dose.[76] This also shows that the route of administration is VERY important. I am not sure when anyone would have the opportunity to take pure psilocybin intravenously, but evidence does show that intense effects fade very quickly (some reports show as soon as 10-15 min after peak effects) and even that effects were ‘barely noticeable’ about 60 min after injection.[76]
Effects
Subjective effects include visual geometry, hallucinatory states, time distortion, enhanced introspection, conceptual thinking, euphoria, and ego loss.[8] The intensity and duration of effects can vary greatly depending on factors such as species and batch, which can complicate standardized dosing information.[8] They are often described to evoke entheogenic, mystical-like, or transpersonal experiences that may facilitate self-reflection and personal growth.[8]
In distinction to psychedelics like LSD, mescaline, and 2C-B, which may be described as "stimulating", "cerebral", and "bright", psilocybin mushrooms are typically described as having an "earthy", "subliminal", or "dream-like" quality.[8] They also are reported to produce slightly more emotion enhancement, time distortion and ego loss than the aforementioned substances, as well as more nausea, confusion, and sedation.[8] Unlike most highly prohibited substances, psilocybin mushrooms have low abuse potential and are neither addictive nor physiologically toxic.[8] However, adverse psychological reactions such as severe anxiety, paranoia, delusions and psychosis are always possible, particularly among individuals predisposed to mental disorders.[8]
Psilocybin mushrooms have a wide range of subjective effects that impact cognitive, physical, visual, and auditory processes. They are most known for their trippy visual effects and headspace along with an inability to discern fantasy from reality.[6][8]Although their effects vary significantly with dose, set, setting, previous experience, emotions and personality; there are commonalities.[10] The effects are largely similar to those of other hallucinogens, such as mescaline or LSD.[6][8] Psilocybin mushrooms have a headspace that is commonly described as extremely relaxing, profound and stoning in style compared to more stimulating psychedelics such as LSD or 2C-B.[8] They are also regarded as being less clear-headed than other commonly used tryptamines such as 4-AcO-DMT, DMT and ayahuasca.[8] This may be due to the presence of other alkaloids like norbaeocystin and baeocystin.[8] There seems to be debate on if different routes of administration cause the same effects, especially with the lack of other alkaloids in some methods, however many studies show similar effects between IV pure psilocybin/psilocin and orally ingested psilocybin.[76] In general, the effects include euphoria, visual and mental hallucinations[76], changes in perception[76], distorted sense of time[76], perceived spiritual experiences[6][76], and loss of sense of self.[76] There are also a slew of possible negative effects which are discussed in a later section.
We’ll start by looking at scientific studies involving animals. Although I don’t necessarily agree with using animals in these types of studies, the results are meaningful. These studies mainly looked at physiological and psychological reactions using pure psilocybin and psilocin in the range of 0.25–10 mg/kg; however doses up to 80 mg/kg have also been used.[3] Characteristic effects of the autonomic nervous system that were notable for the whole animal (mice, rats, rabbits, cats and dogs) with doses of 10 mg/kg s.c. included: mydriasis (dilated pupils), piloerection (goosebumps), irregularities in heart and breathing rate and discrete hyperglycaemic and hypertonic effects.[1] These effects can be interpreted as an excitatory syndrome caused by central stimulation of the sympathetic nervous system.[2] Psilocin also suppresses exploration and habituation elements and induces manifestations of behavioral serotonin syndrome (e.g. head twitch behavior).[3] In psilocybin self-administration experiments, with macaques, at sufficiently high doses the drug provoked stereotypical visual scanning, head shaking, bizarre postures, hyperactivity and focusing on an empty spot in a room with catching non-existent flies.[3] It is therefore very likely that this is a direct manifestation of an altered perception, especially visual hallucinations.[3]
Similarly as in animals, many of these effects are seen in humans, but luckily there are descriptions of what they actually feel like. Studies found that psilocybin slightly stimulates sympathetic activity (mydriasis, mild increase in blood pressure and increased heart rate) at doses higher than 3–8 mg p.o. (0.1-0.2 mg/kg) with the full effect at 8–25 mg p.o, similarly to studies done with various animals.[3][59] More specifically hallucinations begin when the dose is more than 10-15mg.[59][70] Very low doses cause drowsiness and emphasize the pre existing mood.[3] In a medium dosage (12–20 mg p.o.), psilocybin was found to produce a well-controllable altered state of consciousness.[2] Although these dose ranges are good estimates the effects and and intensity are poorly predicted by drug dose.[76] The altered state is marked by stimulation of affect, enhanced ability for introspection and altered psychological functioning in the direction of a hypnagogic experience and dream.[2] The phenomenology of psilocybin intoxication includes a wide range of changes such as in perception (dream-like states, illusions, hallucinations, synesthesia) including changes in body image (e.g. paraesthesia in the form of a tingling, dreaminess or somatic hallucinations), altered self-perception, derealization and depersonalization, impaired perception of time and space, impaired attention, thought content disorder (magical thinking, unusual ideas or delusions), change of intuition and sometimes also mood swings, symptoms of anxiety or elation, impaired concentration, and nervousness.[3][76]
The emotional state can also vary greatly from ecstatic and pleasant feelings to anxiety.[3] Psilocybin induces an overall inactivation and tiredness, dazed state, introversion, increased emotional excitability, increased sensitivity and persisting dreaminess for up to 24h, however most of these effects will fade after 6-8 hours.[3] Psilocybin alters several domains of cognitive function and information processing which selectively reduces the ability to visually distinguish between faces with negative and neutral expressions but not positive-neutral faces, disrupts sustained attention, and alters visual information processing.[3] Furthermore, psilocybin has minimal effects on many bodily functions. It has no effect on electrocardiograph (ECG) or body temperature.[3] It also does not acutely affect the ionic balance, blood glucose or cholesterol, and even in high doses has only a negligible effect on plasma concentration or the activity of various enzymes (lactate dehydrogenase, alanine transami- nase, alkaline phosphatase and cholinesterase, mild elevation of aspartate aminotransferase and γ-glutamyl transferase).[3]
Time Frame
The time frame is usually around 6 hours with a peak at about 1-1.5 hours after ingestion. This is assuming the oral consumption of dried/wet mushrooms. After ingestion there is a rapid increase of psilocin plasma levels followed by a plateau about 50 minutes later, after which there is a relatively slow decline of the curve, ending at about 6 hours.[2] This is confirmed by the subjective impressions of the subjects and Leuner’s diagram of the clinical course (below).[2] The effects last from 3 to 6 hours, however some after effects (comedown) may last up to 8+ hours.[2][8][70][82] The effects of psilocybin can be divided into multiple stages.[59] The first stage starts from 20-45 minutes after oral ingestion.[8][59][82] This is the onset stage. If mushrooms are consumed in the form of a liquid (soup/tea) effects will occur earlier.[59] The second stage is the come up stage of neurological symptoms.[59] This stage can start at varying times depending on when the onset starts, however it usually lasts for about an hour.[3] The peak stage usually occurs around an hour and half after ingestion and can last from 1-2 hours.[3][8][59] At this stage the feeling is very strong, with feelings of derealization, weightlessness, visual disturbances, anxiety, and brain vertigo.[59] During the offset stage, the symptoms gradually disappear.[59] This period can be accompanied by lethargy and extreme exhaustion.[59] Mild adverse effects, like sleep problems generally remain present for up to 12 hours.[70]
General Time Frame for orally ingested dry mushrooms: (all times are approximations)
- Ingestion: 00:00
- Onset 00:20 - 00:45
- Come up: 00:30 - 01:30
- Peak: 01:30 - 03:00
- Offset: 03:00 - 06:00
- After effects: can last up to 24 hours
The time frame greatly changes for intravenous administration (effects wear off ~60 min after injection)
To sum things up from all that research: Generally subjective effects range from intended feelings of relaxation, giddiness, uncontrollable laughter, energy, joy, euphoria, visual enhancement (seeing colors brighter), visual disturbances (moving surfaces, waves, feelings of melting/merging), altered perception of time, derealisation, images and faces, but rarely real hallucinations.[70][76] Anxiety and paranoia are also fairly common occurrences (~30% of the time). The best way to avoid this is to prepare your set and setting and if anxiety does occur changing rooms/activities is often a good way of helping.
The general effects can be categorized into physical, cognitive, visual, auditory, multi-sensory, and transpersonal effects. Which each category being looked at more below.
Subjective Effects
The effects listed below cite the Subjective Effect Index (SEI), an open research literature based on anecdotal user reports and the personal analyses of PsychonautWiki contributors. As a result, they should be viewed with a healthy degree of skepticism. It is also worth noting that these effects will not necessarily occur in a predictable or reliable manner, although higher doses are more liable to induce the full spectrum of effects. Likewise, adverse effects become increasingly likely with higher doses and may include addiction, severe injury, or death ☠.[8]
| The physical effects of psilocybin can be described as stoning, relaxing and a pleasurable tingling sensation that hits its limit at the peak.[8] I usually describe it as having a high that makes you want to lay down. Oftentimes excessive yawning and nausea are present in varying degrees throughout the trip.[8] As with other psychedelics pupil dilation, heart rate changes, and blood pressure changes will occur.[6] Other physical effects that may occur are: | |
| Sedation | Psilocybin mushrooms are reported to be relaxing, stoning and mildly sedating. This sense of sedation is often accompanied by excessive yawning. |
| Spontaneous bodily sensations | The "body high" of psilocybin can be described as a pleasurable, soft and all-encompassing tingling sensation or glow that steadily rises with the onset and hits its limit at the peak. Once the peak is reached it can feel euphoric and tranquil or heavy and immobilizing depending on dose and setting. |
| Perception of bodily heaviness | This effect corresponds to the general sense of sedation and relaxation that characterizes psilocybin experiences. This manifests as a bodily heaviness that discourages movement, typically prominent during the first half of the experience.
This effect appears more pronounced with certain "woodlover" species such as Psilocybe azurescens. |
| Tactile enhancement | This effect is less prominent than with that of LSD or 2C-B but is still present and unique in its character. It is repeatedly described as feeling very primitive in its nature, oftentimes with the small hairs on the user's arms or legs feeling slightly itchy or even ticklish against the skin. |
| Changes in felt bodily form | This effect is often accompanied by a sense of warmth or unity and usually occurs around the peak of the experience or directly after. Users can feel as if they are physically part of or conjoined with other objects. This is usually reported as feeling comfortable in its sensations and even peaceful. |
| Pain relief | This effect can be considered as less intense when compared with LSD. Like most psychedelics, this effect is likely a result of reductions in inflammation as well as from distortions in sensory processing. This effect, while common, is not guaranteed. An increase in pain perception is also possible. |
| Nausea | This effect can be greatly lessened or even completely avoided if the individual has an empty stomach prior to ingestion. It is often recommended that one either refrain from eating for approximately 6 to 8 hours beforehand, or eat a light meal 3 to 4 hours before if they are feeling physically fatigued. |
| Changes in felt gravity | Can be described as feeling that the pull of gravity has shifted in one direction. |
| Excessive yawning | This effect seems to be uniquely pronounced among psilocybin and related tryptamines. It can occur to a lesser degree on LSD and very rarely on psychedelic phenethylamines like mescaline. It typically occurs in combination with watery eyes.
Many people say that once they start yawning they know the mushrooms are starting ti take effect |
| Watery eyes | |
| Frequent urination | |
| Muscle contractions | |
| Olfactory hallucinations | |
| Pupil dilation | |
| Runny nose | |
| Increased Salivation | |
| Brain Zaps | Although this effect is very rare, it can still occur for those susceptible to it. This component is however much less common and intense than it is with serotonin releasing agents such as MDMA |
| Seizures | This is a rare effect but can happen in a small population of those who are predisposed to them, particularly while in physically taxing conditions such as being dehydrated, undernourished, overheated, or fatigued |
| The cognitive effects of psilocybin are complex and multifaceted. The most prominent effects are enhanced introspection, conceptual thinking, and euphoria.[8] Psilocybin has more of a capacity than other psychedelics to produce feelings of unity, connectedness and compassion.[8] High levels of time distortion have been reported from scientific studies and user. Time will usually feel like it has slowed and that “minutes feel like hours”.[6] There are a range of other effects that may occur such as: | |
| Emotion enhancement | This effect is often more prominent and profound than with psychedelics such as mescaline or LSD, leading to strong feelings of compassion, urgency, and moments of intense emotional significance that fluctuate over time. |
Effects by Dose
Threshold effects:(0.25g - 0.75g P. cubensis) For many people this range is above a microdose, where some of the effects can be felt. One may experience: slight cold feeling, mild gas or nausea, feelings of nervousness, slight pupil dilation, mild visual changes including lights seeming brighter, lights having a “starry” look, giddiness, feeling more emotionally sensitive, along with other light effects[100]
- Very rarely 0.25g is enough to propel someone into a full psychedelic trip. So ALWAYS start small to gauge your individual sensitivity*
Medium effects: (0.75g - 2.5g P. cubensis) This is the most common dose range. It provides a psychedelic experience with a smaller chance of negative effects (when compared to higher doses). Some of the effects one can expect are: “cold” feeling, gas and/or stomach discomfort, nausea, pupil dilation, open eye visual effects: lights exhibit auras, star-pattern effects, rainbowing around lighting, lights seem brighter and often "more beautiful", notice movement in periphery, closed eye visuals: normal closed eye "blobs" take on patterns, shapes, distinct forms, increased ability to visualize creatively, spontaneous detailed images, feelings of time dilation, feelings of "coming home again" (often more pronounced for those who have used mushrooms before), feelings of belonging and connection, increased emotional sensitivity, increased ability to focus on emotional problems or memories, chance of thoughts becoming "caught in a loop" / dwelling on a single thought or feeling (usually negative or painful), feelings of connection with others, noticing things that are normally ignored or taken for granted, feelings of wonder, spirit, joy, sadness, despair, religious awakening, contentment and possibly latent psychological crises can come out.[100]
High Dose effects: (2.5g - 10g+ P. cubensis) As the dosage increases the chances and severity of negative effects increases. All of the Medium Effects, usually with a significantly more uncomfortable coming up, more pronounced nausea (rarely resulting in vomiting), sometimes significant mental discomfort associated with feelings of fear and oftentimes accompanying a "What have I done to myself?" or "How far am I going?" thought, the unpleasant coming up effects usually lessen with familiarity and more knowledge about the safety and character of mushroom effects. High Dose Effects are usually characterized by the closed eye visualizations being significantly more elaborate and enfolding, religious revelation, spiritual awakening, near-death experiences, loss of self, talking to seemingly external, autonomous entities, extreme emotional responses, repressed memories coming to life, latent psychological crises can come to the surface, an increase in artistic sense, and intense feelings of wonder, connection, joy, fear. High Dose Effects can also include extreme time dilation, with experiences of wall-clock minutes taking an experientially large amount of time, watching clocks or digital counters where the seconds seem to take minutes to count off.[100]
Systematic Classification and Distribution
Fungi with psychoactive properties are highly diverse and have a wide distribution throughout the world. There are numerous genera containing psilocybin across the globe. Some of these being: Copelandia, Galerina, Gymnopilus, Inocybe, Mycena, Panaeolus, Pholiotina, Pluteus, and Psilocybe.[18] Over 100 species are classified in the genus Psilocybe alone, and because of this Psilocybe is the most well known genus.[8][64] Classifying psilocybin mushrooms isn't that simple however. There is still debate about certain species compounded with issues identifying mushrooms correctly.[20] In the genus Psilocybe there are problems in the taxonomic definitions of some species too.[20] In a 2000 review on the worldwide distribution of psilocybin mushrooms, Gastón Guzmán and colleagues considered neurotropic fungi to be distributed among the following genera: Psilocybe (116 species), Gymnopilus (14), Panaeolus (13), Copelandia (12), Pluteus (6) Inocybe (6), Pholiotina (4) and Galerina (1).[20] Besides the genus Psilocybe, where more than half of the species are psilocybin producing, the vast majority of the species in these genera are not active.[51] Some species of mushrooms are much more commonly seen and used by humans for their psychotropic effects.
The distribution of psychoactive fungi is still poorly documented, however species have been found as far north as Alaska and Siberia to as far south as Chile, Australia, and New Zealand and from sea level to regions up to 4,000m in elevation.[20] It was said that “The mushrooms occur in abundance wherever mycologists abound”.[20] Current estimates suggest that many of them are found in Mexico (53 species), with the remainder distributed throughout Canada and the US (22), Europe (16), Asia (15), Africa (4), and Australia and associated islands (19).[19] This is however not the true numbers since there are still not records of neurotropic fungi from several parts of the world, even from certain states such as my home state Illinois.[20] Although they occur on all continents, historically the majority of neurotropic Psilocybe grow in subtropical, mesophytic, cloud or deciduous forests of Mexico, Caribbean region, eastern US and Central Europe.[20] The diversity, ecological and geographical distribution of the neurotropic fungi is vast and complex with new species constantly being found.[20]
Generally, Psilocybin mushrooms are saprophytes, meaning that they grow on dead material.[51] These species grow in meadows and woods throughout most of the world, usually in soils rich in humus and plant debris.[51] Many of these thrive after ecological disturbances and catastrophes such as landslides, floods or hurricanes.[51] Before human impact psilocybin species were restricted to narrowly defined ecosystems.[51] These ranges have grown substantially for all psilocybin mushrooms as humans destroy woodlands and engage in artificial construction.[51] Psilocybes, being saprophytes, feed on on the surplus of wood chips and wood scrap especially wherever humans, forests, and grasslands struggle to coexist.[51] Today, many Psilocybes are concentrated wherever people congregate, such as parks, gardens, or even freeway rest areas.[51]As unfortunate as it is since human development seems interwoven with ecological disaster psilocybin mushrooms and civilization will continue to coevolve.[51] This adaptation is in stark contrast to their historical ranges. An example of the human influence on the proliferation of these mushrooms is P. cubensis. This species has become the most common Psilocybe because it was imported into the western hemisphere with the Spanish missionaries and slave traders via the cattle they brought with them.[20][51] It is also the most commonly cultivated mushroom in the world.[51] P. semilanceata has also experienced widespread proliferation, and can now be found throughout the world while also being the most common European fungus.[51][58] Nonnative mushrooms have also spread with the importation of exotic plants.[51] A prime example of this is P. cyanescens which is was brought to the pacific northwest of the U.S. through rhododendrons from Europe.
Present in varying concentrations in about 200 species of Basidiomycota mushrooms, psilocybin evolved from its ancestor, muscarine, some 10 to 20 million years ago. The evolutionary advantage of psilocybin for expanding the range of these mushrooms is evident. The production of psilocybin has proven to be a competitive advantage due to the association of this compound with humans and in a way the connection to nature that it causes.[51] These mushrooms seemingly carry a message from nature. Oftentimes the ingestion of these mushrooms causes a deeper connection to nature and even a call to action to protect nature.
Genus
There are new species of psilocybin containing mushrooms being found yearly. As of writing this I am aware of three new psilocybin species within the last year. One of which even being found in the Midwest of the U.S.
Approximately 250 species
- Psilocybe: 168 species
- Panaeolus: 17 species
- Gymnopilus: 16 species
- Pluteus: 8 species
- Inocybe: 6 species
- Conocybe/Conocybula: 4 species
- Gerlina: 1 species
Psilocybe
Inocybe: A large genus of mushrooms in the order Agaricales and family Cortinariaceae with an estimated 848 species.[59] The genus has a wide distribution in temperate and tropical forest regions of the Northern Hemisphere. As for morphological characteristics: the fruiting bodies are small, the cap is deep cinnamon-brown to rust-brown oblate with hair scales up to 4 cm in diameter Known to contain muscarine, psilocin, psilocybin, aeruginascin and baeocystin
Habitat
I have learned much of my mushroom identification skills from the guru Paul Stamets. I am doing my best to combine his knowledge with mine; however, I highly recommend that if you are looking to go forage for wild psilocybin mushrooms you read his books first. The success of a mushroom hunting trip depends on sounds knowledge, timing, habitat awareness, and luck.[133] Although psilocybin mushroom species appear to be safe, some mushroom species that grow among silocybin mushrooms produce toxic compounds that can be deadly.[133]
Psilocybin mushrooms are diverse - they come in many shapes, sizes, and colors.[133] They grow in fields and forests.[133] Many are considered saprophytes, meaning that they gain their energy from decomposing organic material. This shines a light on which types of habitats and microhabitats different mushroom species can be found in. The habitat that a mushroom is found in used to be a more important feature in the identification of the mushroom, however recently with the human impact, habitats change very quickly and can be misleading.[51] As forests are cut and are replaced by grasslands a new mix of mushroom species can be found.[51] This can add confusion since woodland and forest species can be found in these areas.[51] There are however, some species of psilocybin mushrooms that are truly habitat specific.[51] These habitats can be separated into 6 distinct habitats where psilocybin mushrooms flourish in: grasslands, dung deposits, riparian zones/disturbed habitats/gardens, woodlands, mosslands, and burned lands.[51]
Grasslands:
Grasslands habitats, especially wet swampy lowlands, support many of the tall, thin, small, conic-capped Psilocybes.[51] This habitat also harbors many of the humus-loving species (those mushrooms thriving in a variety of soils, from red clays to dark loams).[51] The best spot to find psilocybe species in grasslands is along thin borders of forestlands which are naturally shadier and cooler.[51] There is also evidence that in grasslands that were grazed by domesitcated livestock these species tend to be more prolific, this could possibly be due to the dung deposits.[51] Throughout the world, the noble dung heap provides a reliable and easy to find habitat
Dung Deposits:
Dung is a great supporter of mushrooms.[51] Since dung deposits are relatively short-lived habitats, the mushrooms that flourish do so in a matter of days.[51] The most prominent species to exploit the dung niche are Psilocybe cubensis, Psilocybe coprophilia, Panaeolus cyanescens, and Panaeolus subbalteatus.[51]
Riparian Zones:
These habitats are created from flooding rivers.[51] They erode away soils, trees, and just about anything in their path.[51] This causes there to be an abundance of scattered, broken wood fragments and tangled root balls that have collected debris as the higher waters recede.[51] Many of the species found here will also grow in disturbed habitats.[51]
Disturbed Habitats:
Some examples of this type of habitat include: roads punched into a forest; the grounds around a construction site; and landslides.[51] The first two years in these habitats tend to be the most prolific because as time goes on resources are consumed. By the fourth or fifth year there are not enough resources to sustain saprophytic mushrooms.[51[ However, if new debris is added or the soil upturned, these habitats can rebound with additional populations of psilocybin mushrooms.[51]
Gardens:
Gardens are rich environments for producing psilocybin mushrooms.[51] Oftentimes gardeners unwittingly cultivate mushrooms by importing exotic plants, amending soils, composting refuse, and faithfully watering.[51] Gardeners also have an inclination to introduce the manure of cows, horses, or even “zoo-doo” which makes gardens hospitable place for psilocybin mushrooms.[51] Gardens rich in manure often sprout Panaeolus subbalteatus in temperate climates and Panaeolus cyanescens in subtropical climates. Vegetable gardens tend to support the terricolous Psilocybes (i.e. mushrooms growing out of the ground), while ornamental gardens, richer in wood debris, support more lignicolous species (i.e. growing from wood).[51] Some successful exploiters of this niche are: Psilocybe baeocystis, Psilocybe caerulescens, Psilocybe stuntzii, and Psilocybe subaeruginosa.[51]
Woodlands:
This category is the most expansive. There are a vast array of different types of woodlands based on altitude, temperature, and rainfall.[51] As an example, Psilocybin mushrooms are rarely found in the deeper forests of the Pacific northwest, but are found extensively in the pine forests closer to the equatorial subtropics.[51] Interestingly, few psilocybin mushrooms grow in the woodlands of the true tropics (at least as far as we know).[51] Deciduous trees (cottonwoods, alders, willows, box elders, sweet gums, hornbeans, etc.) thriving in moist soils along streams, ponds, and lakes support Psilocybe.[51] Psilocybes are generally rare in these environments, however deciduous woodlands devastated by recurring cataclysms tend to be better habitats for psilocybin fungi.[51]
Mosslands:
Mosslands, such as those covered in Sphagnum, are generally poor habitats for psilocybin mushrooms.[51] Few, psilocybin mushrooms are found exclusively in mosslands.[51] However, Psilocybe baeocystis and Psilocybe cyanfibrillosa have been seen growing directly from moss.[51]
Burned lands:
Burned lands are not good places to find psilocybin mushrooms.[51] Burned lands undergoing natural rebirth can support Psilocybes, but by themselves, without revegetation, do not produce well[51]
Hunting
Mushroom hunting is dangerous. NEVER eat any mushroom you are not %100 confident in. It is not advised to eat ANY wild mushroom without proper identification
Mushroom hunting can be fun and bountiful, however proper identification is a MUST. A mistake in a mushroom ID can be lethal.[51] There are a lot of good references and ID guides to familiarize yourself with. I go over some common species that can be found, however there are many more. The more knowledgeable you become about all kinds of mushroom indemnification, the safer you will be!
If you have any uncertainty about the identification of a mushroom, do not eat it! Much of how humans have found out what types of mushrooms are poisonous or nonpoisonous has been through trial and error unfortunately. However, since little brown mushrooms have never been sought after for food, little has been known about their biochemistry until now.[51]
Some mushrooms belonging to the genus Galerina that resemble Psilocybes and can be deadly are G. autumnalis, G.marginata, and G.venenata.[51] These mushrooms contain amatoxins (cyclopeptides) similar to those found in the lethal species of Amanita, such as A. phalloides, A. bisporigera, and A. verna (the “destroying angels”).[51] Luckily Amanitas do not resemble Psilocybes, however the general form of Galerinas closely parallels that of the Psilocybes.[51] Psilocybes and Galerinas differ only in the overall color of their spores, purplish brown vs. rusty brown, and to a lesser degree the color of their caps.[51] However, when the caps are dried/frozen the color can be nearly identical.[51] Another deadly rusty brown-spored mushroom, Pholiotina filaris also contains these amatoxins.[51] In some areas Psilocybe can be growing within inches of Galerina and P. filaris.[51] Other brown-spored genera that have an abundance of poisonous species are Inocybe, Cortinarius, Hebeloma, and Entoloma.[51]
By taking spore prints, paying attention to detail, and following keys, the possibility of ingesting poisonous mushrooms is minimized. However, there are plenty of species that have not been fully tested, such as bluing Incybes, which contain psilocybin, but should be treated with extreme caution because their close relatives can be very poisonous.[51]
Cytochrome oxidase oxidizes the dephosphorization of psilocybin to produce the blue product, and hallucinogenic mushrooms that contain the toxin often turn blue after being picked [44]. So, we can identify the hallucinogenic mushroom by this way.[59]
Chemical Synthesis

Albert Hofman was part of the first team that synthesized psilocin and psilocybin in 1958.[6][56] His original synthesis employed dibenzyl phosphoryl chloride to introduce a phosphate group into psilocybin.[52] This reagent, however is hazardous and unstable and was replaced with tetrabenzylpyrophosphate.[52] This pathway has been improved and optimized by various chemists since:[52]

Subsequently, a new efficient synthesis was developed utilizing a direct phosphorylation of psilocin with phosphorus oxychloride. This simple method eliminates the need for tetrabenzylpyrophosphate as a reagent and affords high yields of relatively pure psilocybin.[52] Because of the simplicity and cost effectiveness this synthesis seems likely to become the the chosen pathway for psilocybin synthesis.[52]
Toxicity and Harm Potential
It has been found that the use of magic mushrooms rarely (if ever) leads to physical or psychological dependence, that acute and chronic adverse effects are relatively infrequent and generally mild, that public health and public order effects are very limited and that criminality related to the use, production and trafficking of magic mushrooms is almost non-existent.[70] Psilocybin and psilocin are starting to be widely used in the treatment neurological diseases, drug addiction, and psychotherapy due to their mild toxic effects[4]
References
- ↑ Passie, Torsten; Seifert, Jürgen; Schneider, Ulrich; Emrich, Henning M. (2002). "The pharmacology of psilocybin." Addiction Biology 7(4): 357–364.https://doi.org/10.1080/1355621021000005937